The Redwood Bridge
A summer project for my sister's wedding
Skills
Statics
Construction
Timeline
Jul - Aug 2025
5 weeks
Overview

We needed a bridge to cross the creek behind my parent's house to be used for my sister's wedding, and to last for many years after. Heavy rainfall and wet soil on the Northern Californian coast cause outdoor structures to degrade quickly, so the bridge would need to withstand long, wet winters. ​​​​​​​
Design

Due to time constraints, I decided to use a pre-made design for the trusses:
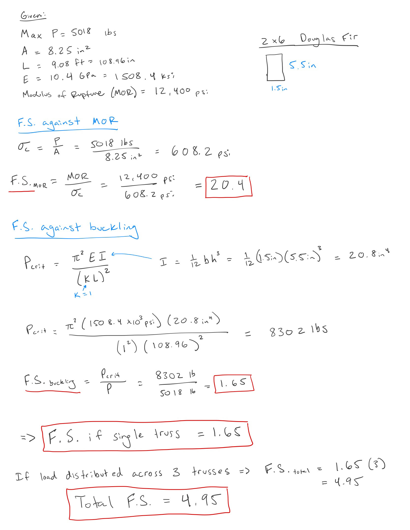
To ensure the trusses wouldn't fail at maximum capacity, I did the statics calculations below.
Calculations
Assumptions:
1. Max capacity of 20 people weighing 200 lbs each (4000 lbs total).
2. Weight of the bridge is negligible.

Simplifications:
1. Model as a single truss, neglecting cross member supports.
2. Treat loads as point loads acting on joints only.​​​​​​​

SkyCiv Results:
3D render of truss design
3D render of truss design
Skyciv setup
Skyciv setup
Axial forces results (lbs)
Axial forces results (lbs)
Hand Calculations:
This gave me a factor of safety of 4.95, which was more than enough to prevent failure.
Sketches

Picket design ideation:
I decided on the top right sketch because I felt that it gave the design room to breathe, and it allowed the trees in the background to be seen best through the slightly larger gaps in the pickets.
Fabrication

Click the video to see the process!
It was a success!!
Back to Top